Ο γεωργός και τα περιστέρια...
Λύση:
Θα προσπαθήσουμε να κατασκευάσουμε μια εξίσωση που να εκφράζει το πρόβλημα.
Οπότε,
(τόσα)+(άλλα τόσα)+(και τα μισά των προηγούμενων)+(εσύ)=100
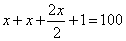
Αν είναι x ο αριθμός των περιστεριών τότε,

Δηλαδή,

Απλοποιούμε το κλάσμα και έχουμε,

Οπότε τα περιστέρια είναι 33.